ELEKTRO
Nomor 36, Tahun VII,  April 2001
ENERGI

Harmonisa Transformator (dan Penanganannya)

Home
Halaman Muka
  Sajian Utama
Sajian Khusus

Komunikasi
Elektronika

Mengenal Proses Kerja dan Jenis-Jenis PLTN

Transformator Daya dan Cara Pengujiannya

Biasanya sebelum penutupan sambungan delta transformator pada khususnya, dan rangkaian mesin pada umumnya terlebih dahulu diperiksa dengan menggunakan voltmeter untuk mengukur tegangan resultante VR seperti pada Gambar 1.

 Hanya jika pembacaan voltmeter adalah nol, maka sambungan delta adalah benar dan voltmeter bisa dilepas, selanjutnya hubungan delta (x1 belitan a dengan x2 belitan c) bisa ditutup.

 Penggunaan voltmeter sebagai tindakan pencegahan supaya tidak terjadi kekeliruan sebelum penutupan hubungan delta, sangat sering, penunjukkannya tidak berharga nol dan tidak pula berharga dua kali tegangan phasa. Adalah suatu kewajaran apabila hal ini menimbulkan keragu-raguan atas tindakan yang akan dilakukan, karena kadang kalanya voltmeter bisa menunjukkan harga sebesar, atau serendah 50V. 

Harmonisa ke-3

Harga tegangan yang ditunjukkan oleh voltmeter tersebut sebesar 50 V adalah dikarenakan adanya harmonisa ke-3 yang relatif besar pada transformator. Pada kenyataannya dalam keadaaan seperti ini jika tetap diambil suatu tindakan untuk menutup sambungan delta, maka harmonisa ke-3 tersebut mendadak tertindas atau terhapuskan. Hal ini terbukti apabila voltmeter dilepas dan amperemeter dipasangkan, maka penunjukkan amperemeter berharga nol dan tegangan akibat harmonisa lenyap.

 Harmonisa ke-3 akan muncul pada semua transformator fasa tunggal, ketika transformator tersebut diberi tegangan nominal. Hasil demikian ini disebabkan kurva saturasi dari inti transformator komersial, menaik secara tajam dan tersaturasi secara cepat. Jadi tegangan sinusoida murni (harga frekuensinya adalah frekuensi fundamental) menghasilkan arus magnetisasi yang terdiri arus dengan frekuensi fundamental ditambah dengan komponen harmonisa ke-3 yang besar. Namun demikian bentuk gelombang arus tersebut hanya sedikit terdistorsi, karena pada tranformator-transformator tunggal arus magnetisasinya adalah kecil dibandingkan arus beban.

 Lain halnya apabila transformatornya adalah tiga phasa. Pada transformator ini ketiga arus magnetisasi frekuensi fundamental tetap berbeda fasa 120º, namun arus harmonisa ke-3 (demikian pula harmonisa tingkat berikutnya) adalah sefasa. Akibat hal ini adalah ketiga komponen harmonisa ke-3 tersebut pada masing-masing belitan menghasilkan bentuk tegangan sekunder yang mengandung distorsi tegangan harmonisa ke-3 yang cukup besar, apabila sistemnya adalah Y bintang, tanpa adanya rangkaian tertutup pada titik netralnya. Jika rangkaian sambungannya adalah tertutup, seperti dalam bentuk sambungan delta, maka harmonisa ke-3 bisa bersirkulasi dan akibatnya harmonisa tersebut tertindas, sehingga tidak ada distorsi tegangan sekunder dihasilkan.

 Kalau dibandingkan secara seksama, maka ada kemiripan perilaku antara harmonisa ke-3 dengan arus urutan nol. Keduanya tidak akan mengalir kalau tidak ada hubungan dari netral ke tanah atau ke titik netral lain dalam sistem Y, sebagai jalur kembali yang membentuk rangkaian lengkap. Sama seperti halnya arus harmonisa ke-3, arus urutan nol juga dapat bersirkulasi dalam rangkaian delta karena delta merupakan rangkaian seri yang tertutup.

 Situasi dimana bentuk gelombang tegangan terdistorsi pada transformator Y-Y yang tidak ada jalur tertutup untuk harmonisa ke-3 baik pada primer atau sekunder, dapat teratasi dengan cara memperlengkapi saluran netral ke tanah pada salah satu dari primer atau sekunder (atau juga boleh kedua-duanya). Saluran netral ke tanah ini mengijinkan jalur tertutup bagi tegangan dan arus harmonisa, seperti diperlihatkan oleh Gambar 2. Telah diperlihatkanlah oleh gambar tersebut, bahwa netral belitan primer transformator disambungkan kepada sumber netral, sehingga menindas harmonisa. Hal demikian itu juga terjadi pada netral sekunder yang tersambung dengan netral beban delta. 

Sambungan Netral

Suatu cara yang tepat untuk menangani harmonisa trasformator adalah dengan memperlengkapi sambungan netral. Jadi dengan demikian sambungan netral adalah suatu yang mendasar untuk menindas harmonisa pada sistem Y-Y. Tetapi selain manfaat tersebut, pada beberapa jenis transformasi sambungan transformator, sambungan netral juga menghasilkan keuntungan-keuntungan sebagai berikut :

 1. Sebagai jalur bagi arus yang tidak seimbang karena beban tidak seimbang.
2. Untuk memperlengkapi pelayanan listrik ganda, yakni baik untuk menyediakan tegangan 3 fasa maupun tegangan phasa tunggal untuk peralatan domestik dan penerangan.
3. Suatu cara dengan mana tegangan-tegangan phasa (melintang beban-beban sambungan Y atau transformator sambungan Y) diseimbangkan dengan memperhatikan kepada tegangan line.
4. Untuk memperkecil atau mengurangi kenaikan pada tegangan phasa yang sehat yang tidak terganggu apabila ada salah satu phasa yang mengalami gangguan tanah (hubung singkat ke tanah).

Gambar 3 memperlihatkan netral dari sumber disambungkan kepada transformator primer dan sekunder maupun kepada beban. Nampak titik bintang beban 3 phasa tersambung dengan netral transformator, sehingga adanya jalur arus tidak seimbang mengakibatkan tidak seimbang tegangan-tegangan phasa. Jelas terlihat juga bahwa beban phasa tunggal ke netral, juga bisa dilayani oleh sistem ini. Bisa juga dilihat bahwa arus harmonisa ke-3 akan memperoleh jalan untuk bersirkulasi, sehingga tidak mungkin menyebabkan distorsi.

Gambar 4 menunjukkan bahwa pada transformator D-D hanya boleh “satu” belitan sekunder di-center-tapped-kan dan disambungkan ke tanah, karena jika lebih dari satu maka akan menyebabkan hubung singkat pada belitan. Primer selamanya tidak akan pernah ditanahkan, karena akan bisa “menghubungpendekkan” secara jauh transformator di sumber. Hasil tegangan center tap sekunder adalah 0,5 Vline, dan merupakan tegangan untuk keperluan beban phasa tunggal. Nampak jelas bahwa, di samping beban sambungan delta, beban sambungan Y pun bisa dilayani oleh sistem ini. Ketidakseimbangan tegangan-tegangan phasa serta bergesernya titik netral akibat arus yang tidak seimbang pada beban Y diperlihatkan oleh pada Gambar 4 tersebut. Di samping itu ketidakseimbangan tegangan-tegangan phasa tunggal juga mungkin terjadi pada sistem ini, seandainya beban phasa tunggalnya tidak seimbang. Harmonisa ke-3 pada sistem ini juga akan tertindas karena jalur tertutup tersedia bagi arus dan tegangan harmonisa tersebut.

Netral belitan primer suatu transformator Y-D, pada Gambar 5a ditanahkan kepada sumber untuk menindas harmonisa primer, Sistem pada gambar tersebut juga dapat melayani beban phasa tunggal dan 3 phasa , baik sambungan Y maupun D. Sistem transformasi ini sangat tepat bila diterapkan untuk sistem tegangan distribusi, karena jika belitan tegangan tinggi primer disambungkan secara Y maka isolasi belitan primer dirancang hanya untuk menahan tagangan phasa. Hal ini akan mengakibatkan biaya isolasi belitan lebih murah.

Suatu penerapan yang sebaliknya diberikan oleh transformasi D-Y pada Gambar 5b, yakni digunakan untuk sistem transmisi tegangan tinggi. Suatu sambungan netral dipenuhi oleh sistem ini pada sisi sekunder untuk menindas harmonisa dan menyediakan kebutuhan netral untuk sistem transformasi Y-Y atau Y-D berikutnya.

Sambungan netral diketanahkan tanpa impedansi pada sistem transformasi D-Y juga bisa berguna untuk membatasi atau mencegah naiknya tegangan phasa yang sehat, seandainya terjadi gangguan salah satu phasa, misal hubung singkat ke tanah. Besar kenaikkan tegangan saluran transmisi ke netral menjadi sebesar ÷3 Ephasa andaikata tanpa adanya sambungan netral dan tanpa impedansi ke tanah. Untungnya hal ini tak terjadi karena ada sambungan netral tersebut ke tanah, sehingga tegangan saluran transmisi ke netral phasa yang sehat tetap sebesar tegangan Ephasa. Uraian perhitungan mengenai hal tersebut seperti persamaan 1.

ZO = ZOT + 3Zn ..............................(1)

 Persamaan di atas adalah harga impedansi urutan nol dari transformator yang titik netralnya diketanahkan. Oleh karena diketanahkan secara langsung tanpa impedansi maka, jadi :

 ZO = ZOT .......................................(2)

 Pada transformator, harga semua impedansi urutan (urutan nol, urutan positif, urutan negatif) adalah sama sehingga dapat dituliskan :

 ZOT = Z1T = Z2T .............................(3)

 jadi impedansi urutan positif transformator adalah :

 Z1 = Z1T = ZOT ................................(4)

 Pada saat terjadi hubung singkat satu phasa ke tanah maka harga konstanta k adalah :

.....................(5)

 Harga kenaikan tegangan akibat hubung singkat adalah :

...............(6)

 Jadi harga tegangan phasa yang sehat adalah :

 Ephasa-sehat = Ephasa + A

 = Ephasa .......................(7)

 Tetapi tidak demikian halnya yang terjadi pada transformasi Y-Y jika titik netralnya dihubungkan ke tanah tanpa impedansi. Hubungan netral ke tanah transformasi Y-Y tersebut tidak dapat mencegah kenaikan tegangan phasa yang sehat apabila ada gangguan salah satu phasa ke tanah. Hal ini disebabkan karena sistem transformasi tersebut mempunyai harga konstanta k=10. Jadi pada saat terjadi hubung singkat satu phasa (misal phasa A) ke tanah, maka besar kenaikan tegangan akibat hubung singkat adalah:

   ....(8)

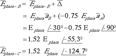
 Harga tegangan phasa yang sehat, yakni phasa B dan phasa C adalah:

Jelah nampak hasilnya bahwa, harga tegangan phasa yang sehat tetap naik menjadi sebesar 1,52 Ephasa setelah terjadi gangguan. Jadi hubungan netral ke tanah pada transformasi Y-Y bukanlah dimaksudkan untuk mencegah atau membatasi kenaikan tegangan pada phasa yang tidak terganggu. Tetapi, hubungan netral ke tanah tersebut hanya mempunyai tujuan yang utama, yakni memberi jalur kepada arus harmonisa guna bersirkulasi agar tegangan harmonisa terhapuskan atau tertindas sehingga tidak menyebabkan distorsi. 

Daftar Pustaka

  1. Kosow, Irving L. Electric Machinery and Transformers: Prentice-Hall Inc. 1972. 
  2. Hutauruk, T. S. Pengtanahan Netral Sistem Tenaga & Pengtanahan Peralatan, Penerbit Erlangga, 1987. 
  3. Stevenson, William D. Jr. Elements of Power System Analysis: Mc Graw_hill, Inc., 1982. (
Terjemahan Bahasa Indonesia oleh Idris, kamal, Penerbit Erlangga.) YUSRO SA’DI
Soditan 89 RT 06 RW III, Lasem 59271 Jawa Tengah
Artikel lain:

| Sajian Utama | Sajian Khusus |
| Komunikasi | Elektronika |

Please send comments, suggestions, and criticisms about ELEKTRO INDONESIA.
Click here to send me email.
| Halaman Muka
© 1996-2001 ELEKTRO Online.
All Rights Reserved.